Cách vẽ hình lục giác đều cực đơn giản, chính xác, chưa đầy 1 phút
Bạn cần phải vẽ hình lục giác đều để phục vụ cho việc học và giải bài tập nhưng lại không biết cách vẽ? Dưới đây là bài viết hướng dẫn bạn cách vẽ hình lục giác đều tứ tung đơn giản và các công thức tính diện tích hình lục giác có thể tính trên máy tính cầm tay , cùng xem nhé!
1. Hình lục giác là gì?
Hình lục giác là một đa giác, là một hình thể trong hình học phẳng, bao gồm sáu góc và sáu cạnh.

Trên tổ ong có hình lục giác
2. Hình lục giác đều là gì?
Hình lục giác đều là hình lục giác có sáu cạnh bằng nhau và cả thảy các góc bằng nhau.

Hình lục giác đều
3. Công thức hệ trọng đến hình lục giác đều
Công thức tính chu vi hình lục giác, lục giác đều

Chu vi lục giác đều
Trong đó :
+ P : Chu vi.
+ a : Độ dài một cạnh.
Để tìm hiểu thêm về công thức tính chu vi hình lục giác mời bạn tham khảo bài viết Chu vi hình lục giác, chu vi hình lục giác đều .
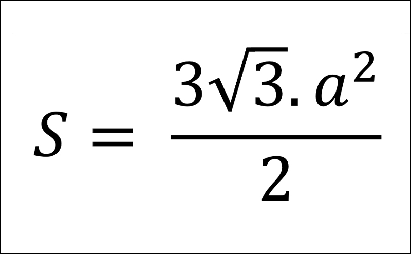
Công thức tính diện tích lục giác, lục giác đều

Công thức tính diện tích lục giác đều
Trong đó :
+ S : Kí hiệu diện tích.
+ a : Độ dài một cạnh của hình lục giác đều.
Để tìm hiểu thêm về công thức tính diện tích hình lục giác mời bạn tham khảo bài viết Diện tích hình lục giác, diện tích hình lục giác đều .
4. Cách vẽ hình lục giác đều
Lưu ý : Compa là dụng cụ sắc nhọn, hãy sử dụng cẩn thận để tránh bị thương tích.
Dùng compa vẽ hình lục giác đều
Bước 1 : Dùng compa vẽ một hình tròn.
Cắm đầu nhọn của compa vào tâm hình tròn bạn đã xác định từ trước. Mở rộng chân compa một khoảng hiệp ứng với độ dài bán kính hình tròn bạn muốn vẽ, xoay compa đến khi tạo thành một hình tròn.

Dùng compa vẽ một hình tròn
Bước 2 : Di chuyển đầu nhọn compa về cạnh hình tròn.
Bạn đặt đầu compa lên phía trên cùng của hình tròn, không đổi thay thiết lập của compa.

chuyển di compa
Bước 3 : Dùng đầu gắn bút chì vạch một dấu nhỏ trên cạnh hình tròn.
Đánh dấu nhẹ tay vì đây chỉ là dấu nháp.

Dùng đầu bút chì để đánh dấu
Bước 4 : chuyển di đầu nhọn của compa đến chỗ đánh dấu.
Đặt đầu nhọn tại điểm được đánh dấu.

chuyển di đầu nhọn đến điểm vừa được đánh dấu
Bước 5 : Dùng bút chì đánh một dấu khác trên cạnh hình tròn.
Đây là điểm thứ hai được đánh dấu cách điểm thứ nhất một đoạn, nối đánh dấu các điểm tiếp theo theo chiều kim đồng hồ hoặc ngược lại.

nối đánh dấu các điểm khác trên hình tròn
Bước 6 : Dùng thước kẻ nối các điểm.
Khi tuốt luốt 6 điểm đã được đánh dấu, bạn hãy dùng bút chì nối chúng lại như hình.

Dùng bút chì và thước kẻ để nối các điểm vừa được đánh dấu ở bước trên
Bước 7 : Tẩy các đường vẽ không cấp thiết.
Sau khi đã nối xong, bạn hãy tẩy các đường nháp như đường tròn, các điểm đánh dấu đi nhé!

Tẩy các đường vẽ nháp
dùng vật hình tròn và thước kẻ
Bước 1 : Dùng bút chì vạch theo cạnh tròn của chiếc ly.

Dùng bút chì vẽ theo cạnh tròn của chiếc ly
Bước 2 : Vẽ một đường thẳng nằm ngang đi qua tâm đường tròn.

Vẽ một đường thẳng đi qua tâm đường tròn
Bước 3 : Vẽ chữ X lên hình tròn đã được chia đôi để tạo thành 6 phần bằng nhau.

Vẽ chữ X xuất hành tròn
Bước 4 : Biến mỗi phần trong sáu phần thành hình tam giác.

Dùng thước kẻ các ohaanf thành hình tam giác
Bước 5 : Tẩy các đường vẽ không cần thiết.

Xóa các đường nháp không cấp thiết
5. Lưu ý khi vẽ hình lục giác đều
- Chuẩn bị đủ phương tiện trước khi vẽ hình.
- Để đo xác thực bạn nên rà soát độ lớn của các góc hình lục giác.
- Đầu bút chì của compa cần được gọt nhọn.

Các lưu ý khi vẽ hình lục giác đều
- Vẽ hình tròn mờ để có thể xóa đi dễ dàng.
- Sau khi vẽ xong hãy đo đạc lại xem các cạnh và các góc đã bằng nhau chưa.
Một số mẫu Máy tính cầm tay Flexio đang kinh dinh tại Thế Giới Di Động:
-
Máy tính cầm tay Thiên Long - Flexio CAL-05P Xanh Navy
190.000₫ -
Máy tính cầm tay Thiên Long - Flexio CAL-03S Xanh Navy
250.000₫ -
Máy tính khoa học Thiên Long - Flexio FX680VN Xanh
650.000₫ -
Máy tính cầm tay Thiên Long - Flexio CAL-06S Xanh Navy
435.000₫ -
Máy tính cầm tay Thiên Long - Flexio CAL-02S Xanh Navy
170.000₫ -
Máy tính khoa học Thiên Long - Flexio FX590VN Xanh Thiên Thanh
460.000₫
Xem thêm :
Trên đây là bài viết hướng dẫn cách vẽ lục giác đều cực đơn giản. Chúc bạn vận dụng thành công và hẹn gặp lại ở các bài viết sau!
Bài viết can dự
-
Công thức tính chu vi, diện tích hình lục giác đều có thí dụ minh hoạ
-
Công thức tính đường cao trong tam giác thường, vuông, đều, cân cực dễ
-
Lý thuyết về đường trung bình của tam giác, hình thang cực chi tiết
-
Công thức tính đường chéo hình vuông đầy đủ, chi tiết, dễ hiểu
-
Công thức tính chiều rộng hình chữ nhật và bài tập có lời giải dễ hiểu
-
Hình thoi là gì? Dấu hiệu nhận biết hình thoi cực xác thực, dễ hiểu


Có

Không có nhận xét nào: